高级检索

    油蒿光系统II光化学参数在生长季早期对降雪事件的响应

    Responses of PSII photochemical parameter to a snowfall event in early growing season in Artemisia ordosica

    • 摘要:
      目的研究生长季早期降雪事件对于典型沙生灌木光合生理状态的影响,以及胁迫发生后植物适应胁迫的光合生理机制。
      方法在降雪前后,使用多通道连续监测荧光仪,通过原位连续监测当地建群种油蒿的叶绿素荧光参数和能量分配参数的变化,确定胁迫恢复期,并分析恢复期各参数与环境因子的关系。
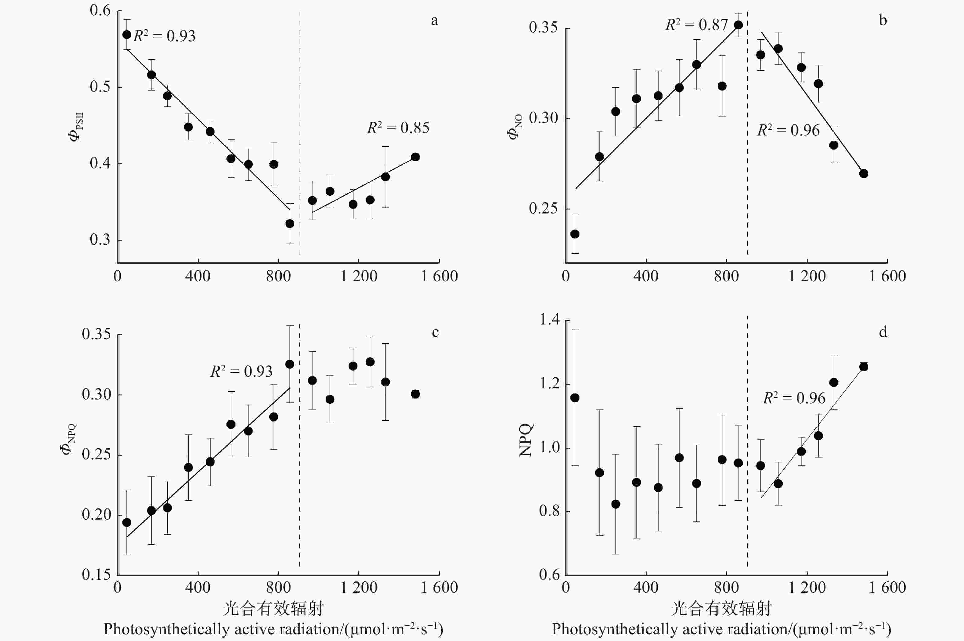
      结果实际光化学量子效率(ΦPSII)在降雪当天达到最低值,且ΦPSII的日间均值比降雪前后分别下降了约40%和33%。调节性能量耗散(ΦNPQ)和非光化学淬灭(NPQ)均在降雪当天达到最高值,其中降雪当天ΦNPQ的日间均值比降雪前后分别升高了95%和48%,NPQ分别升高了94%和76%。降雪当天的最大光化学量子效率(Fv/Fm)降到了最低(0.69),比降雪前降低了约12%,并且低于了0.73的胁迫线。Fv/Fm经过3 d恢复到了降雪前的水平。在恢复过程中油蒿伴随着光照900 μmol/(m2·s)和温度10 ℃的阈值拥有不同的响应关系,可能是在阈值前后拥有不同的环境主导因子。土壤水分始终是油蒿恢复过程中的限制性因素。
      结论本次降雪对于油蒿产生了胁迫,胁迫的原因主要是由于融雪产生的低温和高光强的协同作用导致的。油蒿通过动态调节自身光系统II反应中心的能量分配机制,增大调节性热能耗散比重来适应低温胁迫。油蒿从一次胁迫中恢复约需3 ~ 4 d,低光照、较高温度和较高水分有利于植物恢复过程。

       

      Abstract:
      ObjectiveThe aim is to examine the impact of a snow event in the early growing season on photosynthetically physiological status of a typical shrub, and to understand photosynthetically physiological mechanism to acclimate to the snow stress.
      MethodWe monitored the variations in chlorophyll fluorescence and calculated energy partitioning parameters continuously in situ by a multi-channel monitoring fluorometry during a snow event which covered a period of prior- and post-snowing days, in relation to environmental factors.
      ResultActual photosynthetic quantum yield (ΦPSII) was lowest on snow day. The daytime mean value of ΦPSII on snow day was 40% and 33% lower than that of prior and post snow. Regulatory energy dissipation (ΦNPQ) and non-photochemical quenching (NPQ) were highest on snow day, with daytime mean value of ΦNPQ being 95% and 48% higher than that of prior and post snow, respectively. The daytime mean value of NPQ on snow day was 94% and 76% higher than that of prior and post snow. Maximal quantum yield of PSII photochemistry (Fv/Fm) was 0.69 on snow day, smaller than that of prior snow, and smaller than stress line of 0.73. Fv/Fm recovered back within 3−4 days. There were opposite response trends at PAR threshold of 900 μmol/(m2·s)and at air temperature of 10 ℃, indicating different controlling environmental factors around the thresholds. Water availability was always one of the most common limitations during the stress recovery.
      ConclusionThere was a stress for Artemisia ordosica during the snow event. The stress was mainly induced by the synergy of low temperature and high radiation. A. ordosica acclimated to the stress by mechanism of increasing ratio of regulatory thermal energy dissipation of energy partitioning in PSII reaction center. The 3−4 days were needed for A. ordosica to recover from the snow stress. The recovery period could be shortened by condition of low radiation, moderate high temperature and high moisture.

       

    /

    返回文章
    返回