高级检索

    人工促进更新措施对落叶松种子萌发和早期生长的影响

    Effects of artificial promotion measures on seed germination and early growth of Larix principis-rupprechtii

    • 摘要:
        目的  为了解决塞罕坝地区华北落叶松人工林林下更新困难的问题,实现人工林近自然经营,开展人工促进措施(以下简称促更)对林下更新效果的研究十分必要。
        方法  以塞罕坝地区31年生华北落叶松人工林为研究对象,采用裂区设计等试验方法,从林分密度、枯落物处理方式、种子来源以及种子处理方式这4个方面进行对比试验,探讨林下更新对不同促更措施的响应。
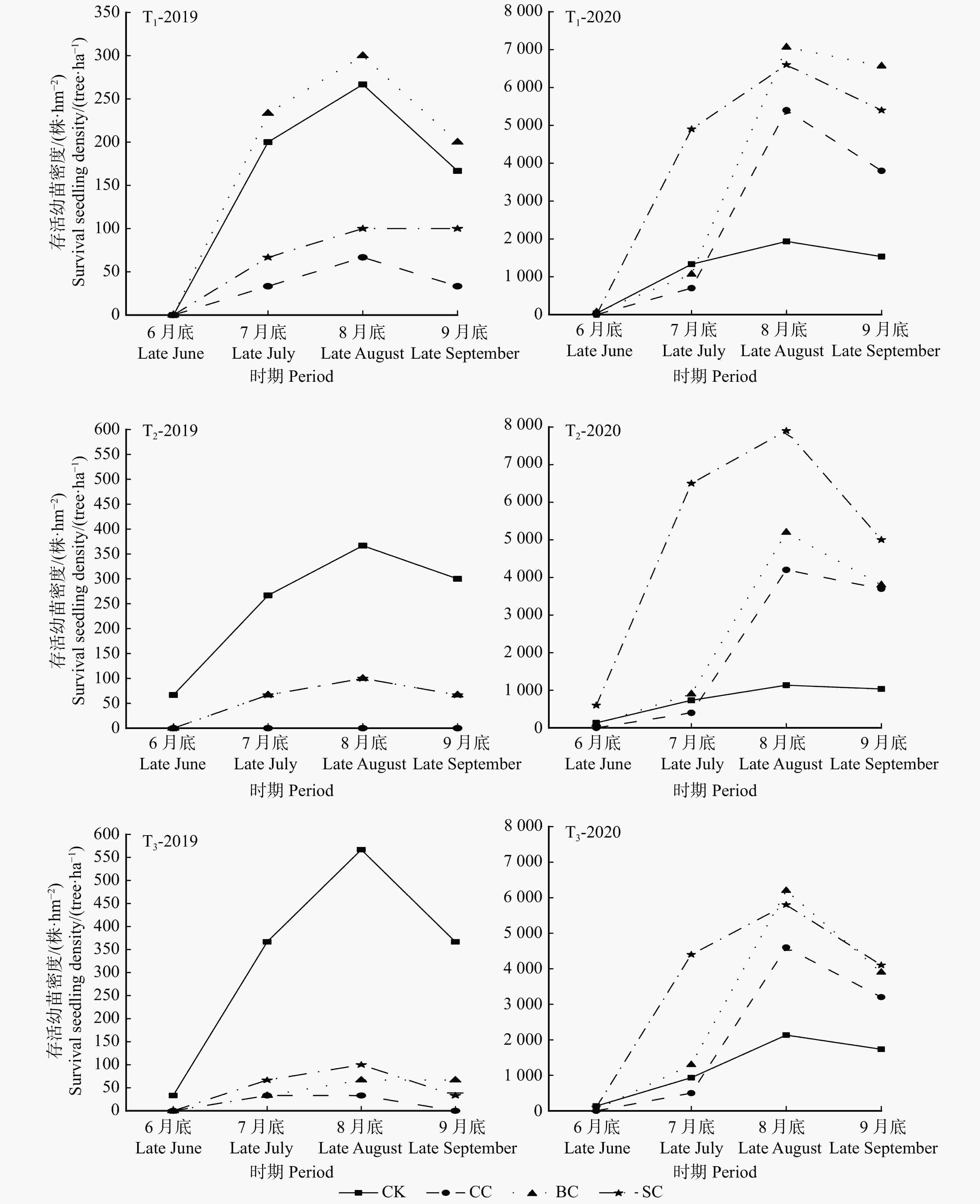
        结果  处理后的华北落叶松林下均能更新,更新频率为100%左右。同时期不同密度的幼苗地径、苗高在生长末期的差异较小(P > 0.05),而幼苗地径在2年间存在显著性差异(P < 0.05)。不同处理间生长季成活率无显著差异(P > 0.05),整体维持在43.68% ~ 87.87%范围内;而更新密度、播种发芽率在不同枯落物处理方式间差异显著(P < 0.05)。人工播种时,以沟状清理(SC)的更新密度最大,为8 633.33 株/hm2,该处理下种子发芽率最高,为1.79%。此外,更新动态因播种时间而发生改变。自然下种时,处理间的更新动态相对一致,7月底为幼苗萌发高峰期;6月中旬人工播种时,只有SC处理的种子在7月底适时大量萌发。
        结论  清理枯落物层和播种对于促进华北落叶松林下更新是有效的。促更措施主要是通过影响幼苗数量而非幼苗品质来影响更新效果。播种时间和种子处理方式会对幼苗的更新动态产生影响,6月中旬人工播种无处理的种子会造成当年更新动态的延迟。本试验条件下最佳促更措施:一是在枯落物沟状清理后6月中旬前进行人工播种;二是全面清理枯落物,同时在前一年度的11月初人工播种。

       

      Abstract:
        Objective  In order to solve the problem of understory regeneration of Larix principis-rupprechtii plantation in Saihanba Area of Hebei Province, northern China and realize the near-natural management of plantation, it is necessary to study the effects of artificial promotion measures (hereinafter referred to as “promotion”) on understory regeneration.
        Method  This study took 31 years old L. principis-rupprechtii plantation in Saihanba Area as the research object, we adopted the split plot design and other methods. The experiments of promotion were carried out from four aspects: stand density, litter treatment, seed source and seed treatment. This paper discusses the response of understory regeneration to different promotion measures.
        Result  The results showed that the regeneration can appear among the treatments and the regeneration frequency was about 100%. The ground diameter and seedling height of seedlings with different densities at the same period had little difference at the end of growth (P > 0.05), while the ground diameter of seedlings had significant differences in two years (P < 0.05). There was no significant difference in survival rate between different treatments (P >0.05), and the overall survival rate remained in the range of 43.68%−87.87%. However, the regeneration density and germination rate of seeds were significantly different among litter treatments (P < 0.05). The regeneration density of 8 633.33 plant/ha of sulcate cleaning (SC) was the highest under artificial sowing, and seed germination rate of 1.79% was also the highest. In addition, the dynamic of regeneration changed with sowing time. When the seeds were sown naturally, the regeneration dynamics among the treatments were relatively consistent, and the peak of seedling germination was at the end of July. When the seeds were sown artificially in the middle of June, only the seeds in SC treatment germinated in large quantities at the end of July.
        Conclusion  The artificial interference with litter layer and seeding are effective to promote the regeneration of L. principis-rupprechtii plantations. The promotion measures mainly affect the effects of regeneration by affecting the number of seedlings rather than the seedling quality. The sowing time and seed treatments affect the renewal dynamics of seedlings, and artificial sowing of untreated seeds in mid-June can cause the delay of renewal dynamics in the current years. The best way to promote the regeneration of L. principis-rupprechtii plantations is as follows: the first way is to sulcate clean the litter layer and spread the seeds manually before mid-June, the second way is comprehensively clean the litter layer and spread the seeds in early November of the previous year.

       

    /

    返回文章
    返回