高级检索

    不同地理空间城市森林空气负离子浓度及其影响因素研究

    Negative air ion concentration and its influencing factors of urban forest in different geographical spaces

    • 摘要:
      目的 开展不同地理空间城市森林的空气负离子浓度(NAIC)研究,为空气负离子的理论研究和森林康养基地的选址依据提供科学支撑。
      方法 在2019年9月—2020年1月,2020年5—8月,选取广东省广州市的3个不同地理位置、森林面积和周边环境梯度的森林环境(远郊、近郊和城区城市森林),同时设置1个城区对照组进行NAIC差异比较,并运用Pearson相关性分析和多元逐步回归分析探讨NAIC与空气含氧量、温度、相对湿度和风速的相关关系。
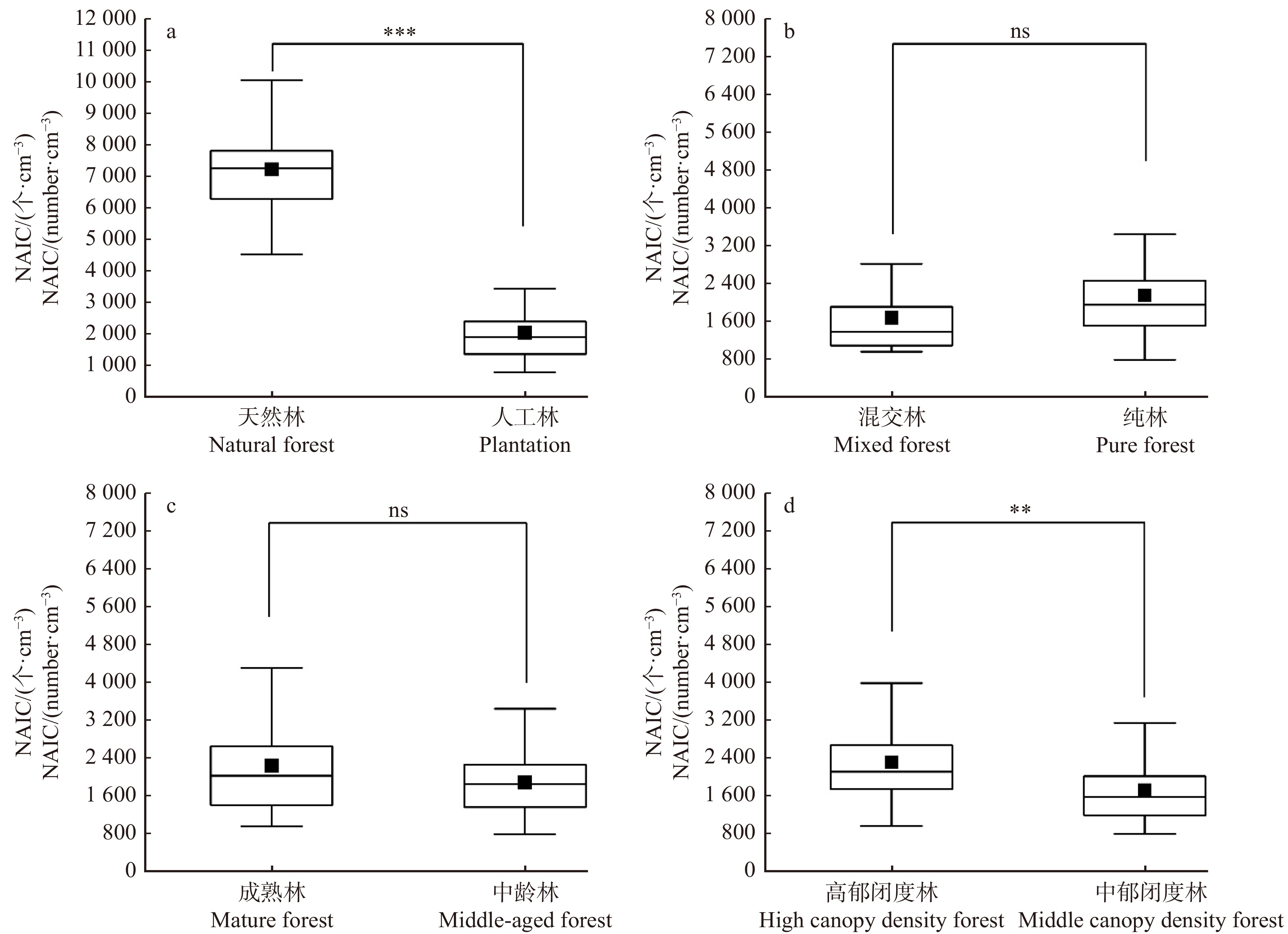
      结果 (1)天然林的NAIC显著高于人工林;在人工林中,高郁闭度林的NAIC显著高于中郁闭度林。(2)不同地理空间城市森林NAIC差异显著,远郊城市森林 > 近郊城市森林 > 城区城市森林 > 城区对照组。(3)森林环境产生NAIC的能力显著优于城市环境(无林地区)。(4)远郊和近郊城市森林的NAIC季节变化为夏季 > 春季 > 秋季 > 冬季,而城区城市森林和城区对照组的为秋季 > 冬季 > 春季 > 夏季。(5)远郊和近郊城市森林的NAIC与空气含氧量、温度和相对湿度均呈极显著正相关,而城区城市森林和城区对照组的NAIC与空气含氧量和温度均呈极显著负相关关系;近郊城市森林的NAIC与风速呈极显著负相关,而远郊城市森林呈极显著正相关。(6)远郊城市森林的NAIC主要与相对湿度和温度密切相关;近郊城市森林的NAIC主要受空气含氧量、风速和温度影响;城区城市森林和城市对照组的NAIC受温度的影响最大。
      结论 地理空间对NAIC有显著影响,即距离城市中心较远,森林面积达到一定规模且集中连片对NAIC有正向影响,相关结果为森林康养基地的选址提供了理论依据。不同地理空间城市森林NAIC的环境影响因子各不相同,建议今后的研究综合考虑气象、林分、地形、周边环境等多个方面不同因素的协同影响,深入探讨NAIC与各环境因子的影响机制。

       

      Abstract:
      Objective The research on the negative air ion concentration (NAIC) of urban forest in different geographical spaces was to provide scientific support for the theoretical study of negative air ions and the site selection basis of forest therapy base.
      Method From September 2019 to January 2020, and from May to August 2020, three forest environments with different geographical locations, forest area and surrounding environment gradients in Guangzhou, Guangdong Province of southern China, i.e. exurban forest, suburban forest, and downtown forest were selected, and an urban control group was set up to compare NAIC differences. Pearson correlation analysis and multiple stepwise regression analysis were used to explore the correlations between NAIC and air oxygen content, temperature, relative humidity as well as wind speed.
      Result (1) NAIC of natural forests was distinctly higher than that of planted forests. In plantation, NAIC of high canopy density forests was significantly higher than that of middle canopy density forests. (2) The NAIC of urban forest in different geographical spaces was prominently different, showed as exurban forest > suburban forest > downtown forest > urban control group. (3) The ability of NAIC generation in forest environment was evidently better than that in urban environment without forests. (4) The seasonal variation of NAIC in exurban forest and suburban forest was summer > spring > autumn > winter, while that in downtown forest and urban control group was autumn > winter > spring > summer. (5) NAIC of exurban forest and suburban forest was remarkably positively correlated with air oxygen content, temperature and relative humidity, while the NAIC of downtown forest and urban control group was noticeably negatively correlated with air oxygen content and temperature; NAIC of suburban forest was significantly negatively correlated with wind speed, while that of exurban forest was notably positively correlated. (6) The NAIC of exurban forest was closely related to relative humidity and temperature. The NAIC of suburban forest was mainly affected by air oxygen content, wind speed and temperature. The NAIC of downtown forest and urban control group was mostly affected by temperature.
      Conclusion The geographical space has a significant impact on NAIC. Distance from the city center and the forest area reaching a certain scale and concentrated contiguous has a positive impact on NAIC. The relevant results provide a theoretical basis for the location of forest therapy bases. The environmental impact factors of NAIC of urban forest in different geographical spaces are different. It is suggested that future research should comprehensively consider the synergistic effects of different factors in many aspects, such as meteorology, stand, terrain, and surrounding environment, and further explore the impact mechanism of NAIC and various environmental factors.

       

    /

    返回文章
    返回