高级检索

    毛竹不同构造中细胞化学成分及热稳定性研究

    Chemical composition and thermal stability of cells in different structures of Phyllostachys edulis

    • 摘要:
        目的  毛竹节间和节子的宏观构造和生理功能截然不同,通过对比分析毛竹节间和节子主要构成单元纤维和薄壁细胞结构和性能的差异,能够为纤维和薄壁细胞定向分离和高效利用提供理论依据。
        方法  通过物理与化学两种分离方法分离获得竹节和节间中纤维和薄壁细胞,采用傅里叶红外光谱、X射线衍射仪、热重分析仪、场发射环境扫描电镜等表征手段研究纤维和薄壁细胞的化学成分、热稳定性及微观结构。
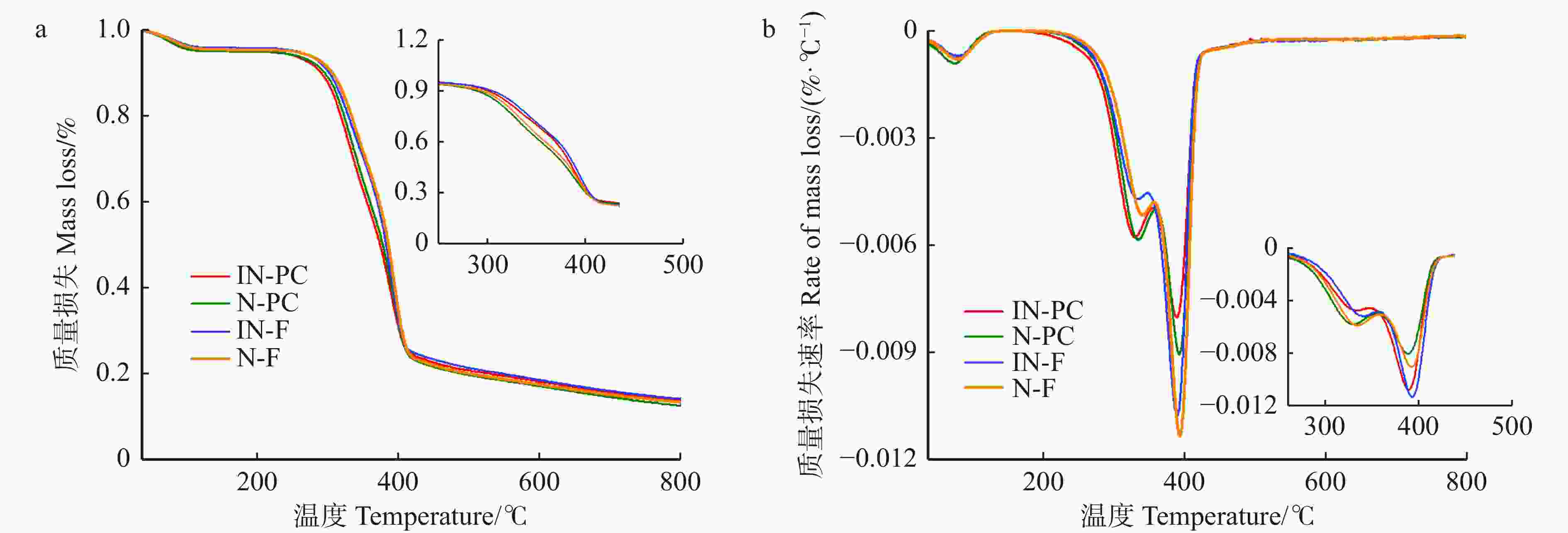
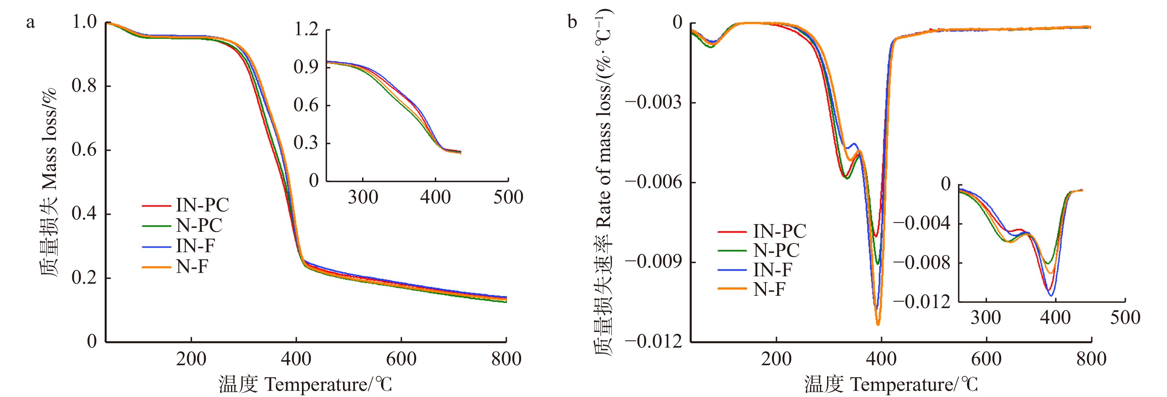
        结果  节间与竹节的纤维形态上两端均呈现尖削状且细长,节间薄壁细胞能明确区分长、短细胞,而竹节薄壁细胞则呈现出圆形、椭圆形、方形等形态;节间中纤维素含量高于竹节,节间中木质素含量低于竹节,而两者半纤维素含量相差不大;纤维中纤维素含量高于薄壁细胞中纤维素含量,纤维中木质素含量低于薄壁细胞,纤维中半纤维素含量与薄壁细胞中半纤维素含量相差不大;节间薄壁细胞的最大降解温度(390.32 ℃)最小,而竹节薄壁细胞的最大降解温度(393.54 ℃)最大。
        结论  节间与竹节的纤维在形态上的差别不太大,节间薄壁细胞分为长细胞与短细胞,而竹节薄壁细胞长短细胞的区分不明显;不同位置的纤维和薄壁细胞的纤维素和木质素含量不同,而半纤维素含量相差不大;竹节中纤维和薄壁细胞的热稳定性都比节间略高,竹节的热稳定性比节间好。

       

      Abstract:
        Objective  The macrostructure and physiological functions between the internode and node of Phyllostachys edulis are quite different. Fibers and parenchyma cells are the two main components in either Phyllostachys edulis internodes or nodes, full comparison and understanding of the differences between fibers and parenchyma cells in terms of structures and properties can provide a theoretical basis for their directional separation and efficient utilization.
        Method  The fibers and parenchyma cells in both bamboo internodes and internodes were isolated by physical and chemical separation methods. Subsequently, the chemical composition, thermal stability, and microstructure of bamboo fibers and parenchyma cells were studied by Fourier infrared spectroscopy, X-ray diffraction, thermogravimetric analysis, and field emission scanning electron microscopy.
        Result  The morphology of the ends of fibers extracted from the internodes and the bamboo nodes both exhibited sharp and slender shapes. As for parenchyma cells, the long cells and short cells could be clearly distinguished in the internode, while the parenchyma cells in the node showed round, oval, or square cell shapes. The content of cellulose in the internode was higher than that in the node, and the content of lignin in the internode was lower than that in the node, but the hemicellulose content was not significantly different between the internode and the node. The cellulose content in fibers was higher than that in parenchyma cells, the lignin content in fiber was lower than that in parenchyma cells, and the hemicellulose content in fiber was not different from that in parenchyma cells. With respect to thermal stability, the maximum decomposition temperature in internode parenchyma cells was lowest at 390.32 ℃, and the maximum decomposition temperature in node fiber was highest at 393.54 ℃.
        Conclusion  The fiber morphological difference between the internode and the node of bamboo is not very significant. The parenchyma cells in the internode can be divided into long cells and short cells, but distinguishing between long cells and short cells in the node is not obvious. The cellulose and lignin contents are different in fiber and parenchyma cells at different locations, but the hemicellulose contents are not different. The thermal stability of fiber and parenchyma cells in the bamboo node is slightly higher than that in the internode, suggesting that the thermal stability of the bamboo node is slightly higher than that in the internode.

       

    /

    返回文章
    返回