高级检索

    连香树雌雄株生长及适应性策略差异

    Differences in growth and adaptive strategies between male and female plants of Cercidiphyllum japonicum

    • 摘要:
      目的 探讨生殖压力影响下孑遗植物连香树雌雄株资源分配和适应性策略的差异性,以期为全球气候变化背景下第三纪孑遗植物中的雌雄异株树种生理生态学相关研究提供理论参考。
      方法 以北京市国家植物园中起源于白垩纪的第三纪孑遗植物雌雄异株植物连香树为研究对象,对其生长盛期7—9月雌雄株形态、光合参数、叶绿素含量、叶绿素荧光参数、化学计量特征、防御物质含量等进行动态监测及相关性分析。
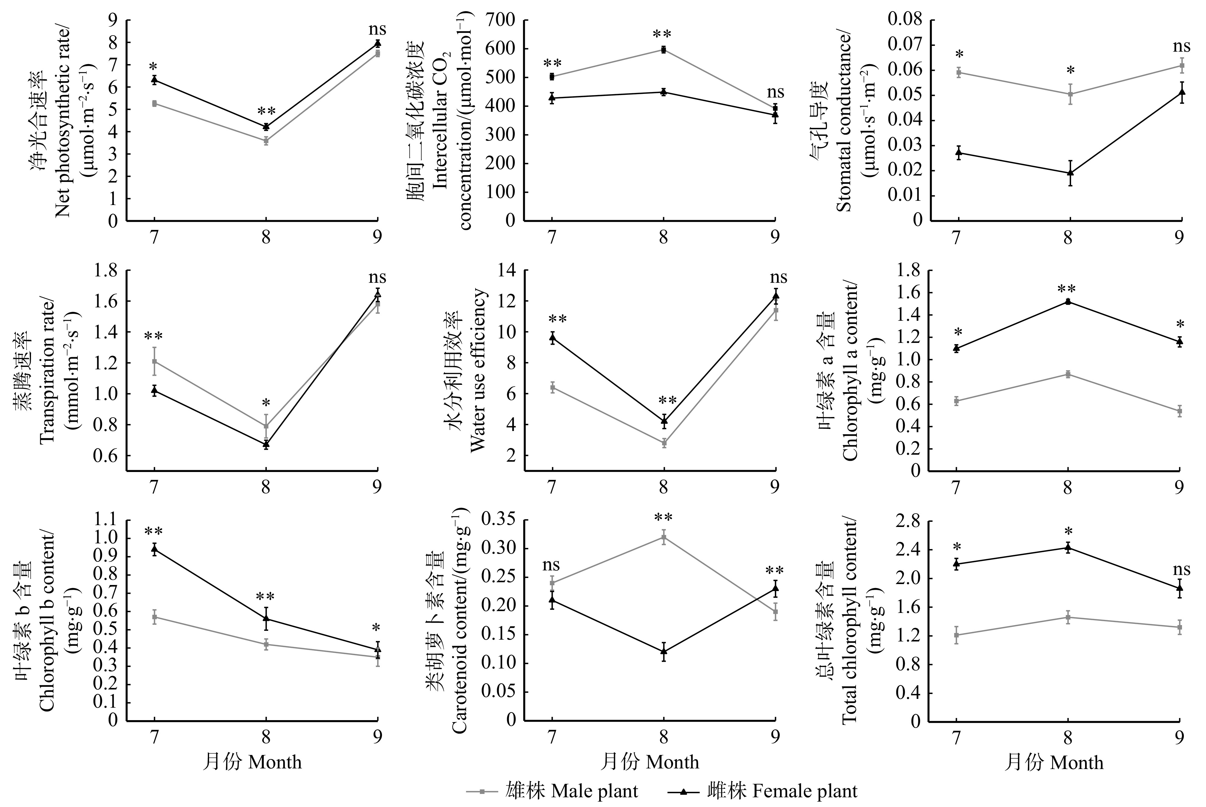
      结果 (1)在夏季高温期影响下,连香树雌雄株光合能力均存在一定的减弱,表现为净光合速率减弱,并通过降低气孔导度和蒸腾速率以减少水分流失,采用光保护策略以保护自身免受热和光抑制,降低最大光化学量子产量和光化学猝灭系数,增加非光化学量子产量,同时增加抗氧化酶活性以增强组织抗氧化活性,增加黄酮类次生代谢物以增强抗逆能力。(2)雌株的单叶面积、比叶重、一年生小枝长、展叶效率均显著高于雄株,在7—8月雌株的光合速率、水分利用效率、叶绿素a、总叶绿素含量、最大光化学产量、花青素含量等参数均显著大于雄株。
      结论 雌株以更高的光合能力用于生殖补偿,同时以化学防御为代价增加对生长和繁殖的资源投入,采取“激进型”适应性策略;而雄株则投入更多的资源用于防御,采取“保守型”适应性策略。

       

      Abstract:
      Objective  The differences of reproductive compensation mechanism, resource allocation and adaptive strategy between male and female plants of relict plant Cercidiphyllum japonicum under the influence of reproductive pressure were discussed in order to provide some references for the study of physiological ecology of dioecious tree species in Tertiary relict plants under the background of global climate change.
      Method In this study, C. japonicum, a tertiary relict dioecious plant originated from the Cretaceous in Beijing National Botanical Garden, was used as the research object. The morphology, photosynthetic parameters, chlorophyll content, chlorophyll fluorescence parameters, stoichiometric characteristics and defensive substance content of male and female plants at different developmental stages in the growing season were dynamically monitored and correlation analysis was performed.
      Result (1) Under the influence of high temperature period in summer, the photosynthetic capacity of male and female plants of C. japonicum decreased to a certain extent, which was manifested by the decrease of net photosynthetic rate and the decrease of stomatal conductance and transpiration rate to reduce water loss. The photoprotection strategy was used to protect itself from heat and photoinhibition, reduce the maximum photochemical quantum yield and photochemical quenching coefficient, increase non-photochemical quantum yield, increase antioxidant enzyme activity to enhance tissue antioxidant activity, and increase flavonoid secondary metabolites to enhance stress resistance. (2) The single leaf area, specific leaf mass, annual twig length and leaf expansion efficiency of female plants were significantly higher than those of male plants. The photosynthetic rate, water use efficiency, chlorophyll a, total chlorophyll content, maximum photochemical yield and anthocyanin content of female plants were significantly higher than those of male plants from July to August.
      Conclusion Female plants have a reproductive cost compensation mechanism, which uses higher photosynthetic capacity for reproductive compensation, and increases resource input for growth and reproduction at the expense of chemical defense, and adopts a ‘radical’ adaptive strategy, while male plants invest more resources for defense and adopt a ‘conservative’ adaptive strategy.

       

    /

    返回文章
    返回