高级检索

    喀斯特森林植被自然恢复过程中土壤化学计量特征

    Characteristics of soil stoichiometric in natural restoration process of Maolan karst forest vegetation, southwestern China

    • 摘要:
      目的研究茂兰喀斯特森林植被自然恢复过程中不同演替阶段土壤养分与化学计量的动态变化规律,探讨两者间的相互关系,定量评价各影响因子对其的解释程度,阐明群落演替与土壤性状演变间的内在耦合关系,旨在为该区域植被的恢复与重建提供理论依据。
      方法以草本群落、灌木灌丛群落、乔林群落和顶极常绿落叶阔叶混交林群落等演替阶段为研究对象,每个演替阶段各设置3个固定样地,样地内根据不同小生境随机布设12个土壤剖面,分层取样,测定土壤有机碳(SOC)、全氮(TN)、全磷(TP)和全钾(TK)含量,并计算其化学计量比。
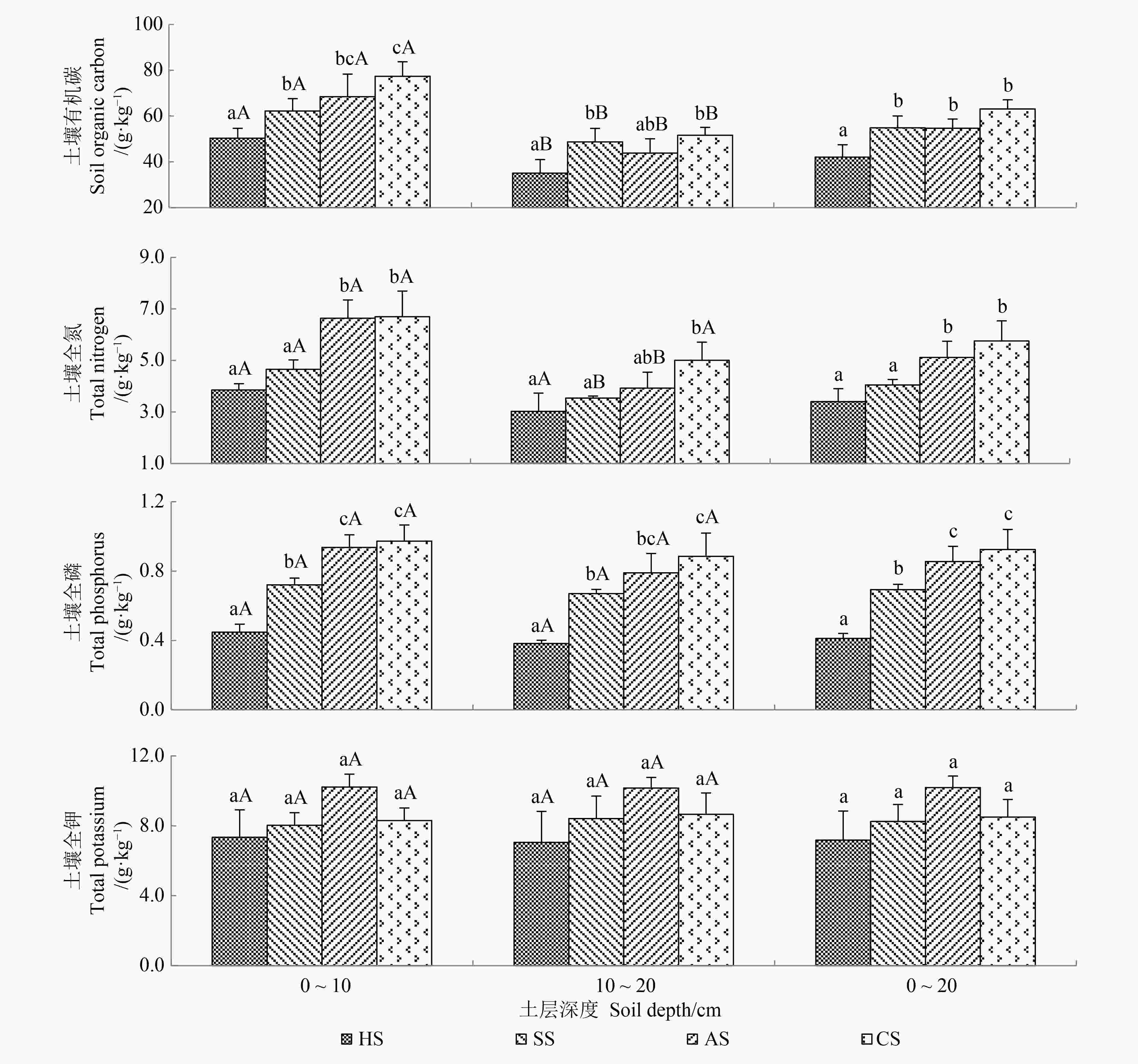
      结果研究区土壤的SOC、TN、TP和TK含量均值分别为54.72、4.67、0.73和8.53 g/kg,且SOC、TP和TN含量相互间均存在显著或极显著正相关,表现出相对一致的变化规律;C:N、C:P、C:K、N:P、N:K和P:K分别为11.95、79.16、6.50、6.64、0.550 1和0.085 2;从变异系数来看,除TK含量和C:N属弱变异性以外,其余土壤养分含量及化学计量比均属中等变异性。随植被的正向演替,不同演替阶段的SOC、TN和TP含量基本上均呈上升趋势,而TK含量则呈倒“V”字型变化,表现为:乔林阶段 > 顶极阶段 > 灌木灌丛阶段 > 草本阶段;各演替阶段不同土层深度的SOC、TN和TP含量均表现为0 ~ 10 cm要高于10 ~ 20 cm,而TK含量则无明显变化。土壤化学计量特征随演替的进展其变化趋势差异较大;在土壤剖面层次上,各演替阶段除C:N不同土层深度间无显著差异以外,其余也均表现为0 ~ 10 cm要高于10 ~ 20 cm。冗余分析结果表明,土层深度和群落演替是调控该区域土壤养分含量和化学计量特征的主要因素,对其解释程度分别为32.82%和32.19%。
      结论研究区土壤有机碳含量相对较高,氮、磷养分含量丰富,植物生长受氮(或磷)素限制的原因可能是土壤养分含量的有效性偏低所致;减少人为干扰、加之适当的保护,促进群落的正向演替,提高喀斯特森林生态系统的稳定性和抗干扰性,有利于土壤养分的积累;研究初步揭示了众多影响因子对土壤养分含量和化学计量特征的解释程度,对喀斯特森林的保护具有重要的指导意义。

       

      Abstract:
      ObjectiveThe dynamics of soil nutrition and stoichiometric characteristics of different successional stages during the process of natural restoration in Maolan karst forest vegetation of southwestern China were studied to explore the relationship between them, and quantitatively evaluate the degree of explanation of impact factors on soil stoichiometric characteristics, and clarify the intrinsic coupling relationship between the vegetation community succession and soil property evolution, in order to provide the theoretical basis for restoration and reconstruction of degraded karst forest.
      MethodTaking he herb stage, shrub stage, arbor stage and climax stage as the research objects, three fixed sample plots were set up in each succession stage, 12 soil profiles were randomly set up according to different niche conditions and laminated sampling. The contents of SOC, TN, TP and TK were measured and the stoichiometric ratio was calculated.
      ResultThe mean contents of SOC, TN, TP and TK of soil in the research region were 54.72, 4.67, 0.73 and 8.53 g/kg, respectively. There were significantly or very significantly positive correlations between the contents of SOC, TP and TN, showing relatively consistent law of change. The ratios of C:N, C:P, C:K, N:P, N:K and P:K were 11.95, 79.16, 6.50, 6.64, 0.550 1 and 0.085 2, respectively. In terms of coefficient of variation, except TK content and C:N belonged to weak variability, the soil nutrient content and stoichiometric ratio were all medium variability. With the forward succession of vegetation, the SOC, TN and TP contents in different succession stages basically increased, but the change trend of TK content was reverse V-shape, showed arbor stage > climax stage > shrub stage > herb stage. The contents of SOC, TN and TP of different soil depth at each succession stage showed that 0–10 cm was higher than 10–20 cm, but the content of TK had no obvious change. The variation trend of the soil stoichiometric characteristics with the succession was quite different. At the soil profile level, except for no significant difference between the depth of different soil layers in C:N, the others showed that 0–10 cm was higher than 10–20 cm. The results of redundancy analysis showed that soil depth and community succession were the main factors to regulate soil nutrition content and stoichiometric characteristics in the region, with the explanatory degree of 32.82% and 32.19%, respectively.
      ConclusionSoil organic carbon content in the study area was relatively high, N and P contents were rich , plant growth restricted by N (or P) element may be caused by the low effectiveness of soil nutrient content.Reducing human disturbance, and appropriate protection can promote the positive succession of community, improve the stability and anti-interference of the karst forest ecosystem, and conducive to the accumulation of soil nutrients.The results preliminarily reveal the degree to which many influencing factors can explain soil nutrition content and stoichiometric characteristics, which is of important guiding significance to the protection of karst forest.

       

    /

    返回文章
    返回